Yfirborðsflatarmál réttra strendinga

Yfirborðsflatarmál er flatarmál alls yfirborðs á þrívíðum hlut.

Til að finna yfirborðsflatarmál strendinga leggjum við saman flatarmál allra hliðaflata við flatarmál grunnflatanna.

Sýnidæmi

Hér til hægri er kassi með hliðarlengdirnar 4 metra, 5 metra, og 10 metra. Hvert er yfirborðsflatarmál hans?

Það eru 6 hliðar á kassa, allar rétthyrningar, nú þurfum við að finna flatarmál rétthyrninganna og leggja saman.

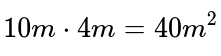
Grunnflötur kassans er 10 metrar á aðra lengdina og 4 metrar á hina. Það eru tveir þannig fletir á kassanum.
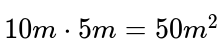
Tveir hliðarfletirnir hafa hliðarlengdirnar 10 metra og 5 metra.
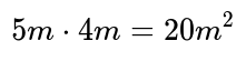
Síðustu tveir fletirnir hafa hliðarlengdirnar 5 metra og 4 metra.

Við erum þá með tvo fleti sem eru 40 fermetrar, tvo fleti sem eru 50 fermetrar, og tvo fleti sem eru 20 fermetrar. Við leggjum saman allar hliðarnar og fáum út yfirborðsflatarmál kassans.

Yfirborðsflatarmál kassans er þá 220 fermetrar.