Rúmmál réttra strendinga

Réttir strendingar eru strendingar þar sem hliðarfletir rísa hornrétt á grunnflöt.

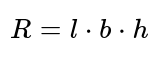
Formúlan til að finna rúmmál réttra strendinga er einföld. Flatarmál grunnflatar er margfaldað með hæð strendingsins.

Það fer eftir hvernig grunnflötur er í laginu hvernig við reiknum flatarmál grunnflatarins.

Hvernig reiknar maður flatarmál rétthyrnings?
Hvernig reiknar maður út flatarmál þríhyrnings?

Sýnidæmi

Hér til hægri er kassi með hliðarlengdirnar 4 metra, 5 metra, og 10 metra. Hvað rúmar hann marga rúmmetra?

Kassi er réttur strendingur og getum við því notað formúluna. Rúmmál jafnt og flatarmál grunnflatar sinnum hæð. Grunnflöturinn er rétthyrningur. Flatarmál rétthyrnings er reiknað lengd sinnum breidd, á þessari mynd hefur rétthyrningurinn hliðarlengdirnar 10 metra og 4 metra. Hæðin á kassanum er 5 metrar.

Við getum reiknað flatarmálið fyrst og margfaldað það svo með hæðinni, eða gert það í einni röð.

Rúmmál kassans er þá 200 rúmmetrar.