Flatarmál og ummál samsettra forma

Hægt er að finna flatarmál flóknari samsettra forma með því að nota sér þekkingu sína á hvernig fundið er flatarmál einfaldari forma. Er þá samsett form brotið niður eins og púsluspil og flatarmál einfaldari formanna fundið og lagt saman í lokin. Yfirleitt er hægt að skipta formi niður á marga mismunandi máta, en gjarnan er reynt að skipta samsetta forminu í sem fæst form.

Einfalt er að finna finna ummál samsettra forma og er ekki alltaf þörf að reikna mikið út ef hliðarlengdir eru gefnar. Mikilvægt er þó að ruglast ekki og telja með hliðar sem eru ekki utan um formið.

Sýnidæmi

Hér til hægri er samsett form búið til úr þríhyrningum, rétthyrningi og hálfhring.

Hvernig finnum við flatarmál formsins?

Forminu er hægt að skipta í rétthyrning, hálfhring og tvo þríhyrninga. Byrjum á að reikna út flatarmál rétthyrningsins. Hliðarlengdir rétthyrningsins eru 3 og 6 sentimetrar. Flatarmál rétthyrningsins er 18 fersentimetrar.

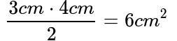
Þríhyrningarnir á hliðum rétthyrningsins hafa grunnlínu að lengd 3 og hæðina 4 sentimetrar. Flatarmál eins þríhyrnings er 6 fersentimetrar.

Til að finna flatarmál hálfhrings byrjum við á að finna hver stór hringurinn væri ef hann væri heill, svo deilum við með 2 þar sem að við viljum einungis bæta við helmingi flatarmálsins. Geisli hringsins er 1,5 sentimetrar. Flatarmálið er þá reiknað með því að segja 1,5 sentimetrar í öðru veldi sinnum pí námundast að 7 fersentimetrum.

Leggjum við loks saman öll flatarmálin sem við höfum reiknað. Munum að leggja þríhyrninginn saman tvisvar þar sem að þeir eru tveir. Heildarfatarmál formsins er 37 fersentímetrar.

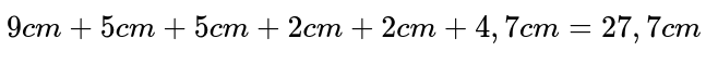
Hvernig finnum við ummál formsins?

Til að finna ummál, þá leggjum við saman allar hliðar formsins. Langhliðar þríhyrninganna eru 5 sentímetrar að lengd. Við þurfum að finna ummál hálfhringsins. Það er reiknað þvermál sinnum pí deilt með tveimur. Ef við leggjum þá allar utanaðliggjandi hliðar saman fáum við að ummál formsins er 27,7 sentímetrar.